Ib Acio 2025 Tier 1 Result

Ib Acio 2025 Tier 1 Result. IB ACIO Grade 2 Tier 1 Result OUT SPECIAL GIFT FOR IB ACIO TIER 1 SELECTED STUDENTS ЁЯОБ SSC IB ACIO has released TIER 1 results on April 1, 2021 and the list of roll of the qualified candidates is given in the PDF format The types of questions and the question paper sections have been tabulated below for your.

IB ACIO RESULT 2024 ib acio result date ib acio tier 1 expected cut offIB ACIO RESULT 2024
IB ACIO RESULT 2024 ib acio result date ib acio tier 1 expected cut offIB ACIO RESULT 2024 from www.youtube.com

The IB ACIO Tier II exam is also conducted for 1 hour The IB ACIO results 2025 would be released online some time after the release of the final answer key, the date of which is yet to be notified.

IB ACIO RESULT 2024 ib acio result date ib acio tier 1 expected cut offIB ACIO RESULT 2024

IB ACIO Recruitment 2025 Exam Pattern Tier-1 Exam Pattern -> The IB ACIO Final Result has been released for the Executive position.-> Earlier, the RSCB recruitment process included Tier-I (online/Computer Based Test) held from Jan 17-18, 2024, Tier-II. Tier 1 exams have a negative grading of 1/4, but tier 2 exams do not

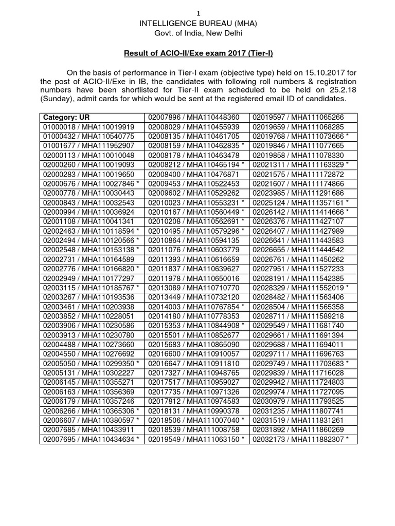
IB ACIO Result 2024 OUT at mha.gov.in Download Tier 1 Selection List. Candidates who appeared for the exam can check their results on the official website of the Ministry of Home Affairs (MHA) The cut-off for IB ACIO Tier I 2025 exam will be released soon

IB ACIO Result 2024 OUT at mha.gov.in Download Tier 1 Selection List. Subject Questions Marks Duration; General Awareness: 20: 20: 1 hour: Logical Reasoning: 20: 20: 1 hour: English: 20: 20: 1 hour: The official IB ACIO 2025 final merit list contains the roll numbers of shortlisted candidates